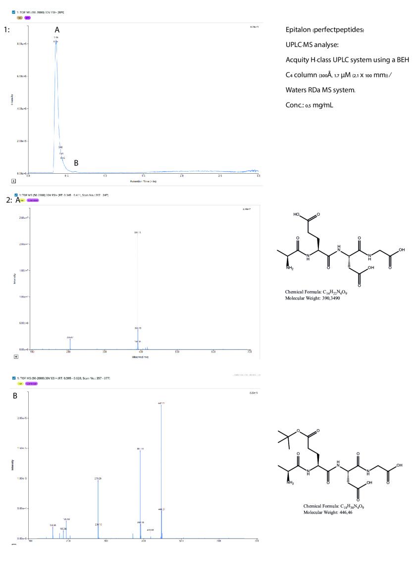
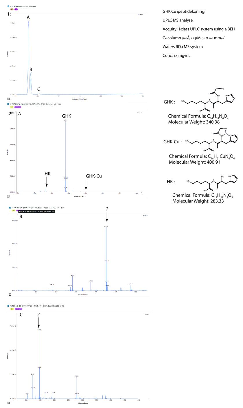
Hier vind je de complete onderzoeksresultaten van de peptiden die door Pointer Checkt zijn gekocht en onderzocht door het Leids Universitair Medisch Centrum, zoals gepresenteerd in de aflevering ‘Ik ontmasker de peptidehype (spoiler: gevaarlijk)’.

 

Overzicht testresultaten: Afzender LUMC
Gemeten inhoud peptiden
testuitslag peptiden testuitslag peptiden testuitslag peptiden testuitslag peptiden

Makers

Samen komen we verder

Ons onderzoek begint bij jou. Heb jij een tip of ervaring die je met ons wil delen? Laat het ons weten!

Heb jij een tip of ervaring die je met ons wil delen? Laat het ons weten!

Documentatie uploaden
CAPTCHA
Deze vraag is om te controleren dat u een mens bent, om geautomatiseerde invoer (spam) te voorkomen.

Bedankt, je tip is verstuurd

Wat gebeurt er nu met mijn tip?

Bedankt dat je de tijd hebt genomen om het tipformulier in te vullen. Je tip is verstuurd naar de redacteur van het onderzoek. Wij publiceren niets met naam en toenaam zonder contact met je op te nemen. Soms krijgen we zoveel tips binnen dat het ons helaas niet lukt om iedereen een persoonlijke reactie te sturen. We vragen je begrip hiervoor. 

Benieuwd naar de impact van eerdere tips?

Van kamervragen tot petities en maatschappelijk debat: samen met jou pakken we systemisch falen en onrecht aan. Benieuwd naar de impact van eerdere onderzoeken en ingezonden tips? Bekijk dan nu ons track record.